jk.zdjt.com.png?v=1
8eff65654bbb185427781fffaa4d0372
×¢ÉäÓÃÁòË᳤´ºÐ¼î
¡¾³É¡¡¡¡·Ý¡¿±¾Æ·Ö÷Òª³É·ÝΪÁòË᳤´ºÐ¼¡£¡£ ¡£¡£
¡¾¹¦Ð§Ö÷ÖΡ¿¼±ÐÔ°×Ѫ²¡£¬£¬£¬£¬ÓÈÆäÊǶùͯ¼±ÐÔ°×Ѫ²¡£¬£¬£¬£¬¶Ô¼±ÐÔÁܰÍϸ°û°×Ѫ²¡ÁÆÐ§ÏÔÖø¡£¡£¡£ ¡£¡£
¡¾¹æ¡¡¡¡¸ñ¡¿1mg
¡¾Åú×¼Îĺš¿¹úÒ©×¼×ÖH14020811
²úƷ˵Ã÷

¡¾Ò©Æ·Ãû³Æ¡¿Í¨ÓÃÃû³Æ£º×¢ÉäÓÃÁòË᳤´ºÐ¼î

        Ó¢ÎÄÃû³Æ£ºVincristine Sulfate for Injection

        ººÓïÆ´Òô£ºZhusheyong LiusuanChangchunxinjian

¡¾³É·Ý¡¿±¾Æ·Ö÷Òª³É·ÝΪÁòË᳤´ºÐ¼¡£¡£ ¡£¡£

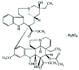
     Æä½á¹¹Ê½Îª£º

×¢ÉäÓÃÁòË᳤´ºÐ¼î

     ·Ö×Óʽ£ºC46H56N4O10¡¤H2SO4

     ·Ö×ÓÁ¿£º923.04

     ËùÓи¨ÁÏÃû³ÆÎª£º¸Ê¶´¼

¡¾ÐÔ×´¡¿±¾Æ·Îª°×É«»òÀà°×É«µÄËÉÉ¢×´»òÎÞ¶¨ÐιÌÌ壻£»ÓÐÒýʪÐÔ£»£»Óö¹â»òÈÈÒױ仯¡£¡£¡£ ¡£¡£

¡¾Ë³Ó¦Ö¢¡¿1¡¢¼±ÐÔ°×Ѫ²¡£¬£¬£¬£¬ÓÈÆäÊǶùͯ¼±ÐÔ°×Ѫ²¡£¬£¬£¬£¬¶Ô¼±ÐÔÁܰÍϸ°û°×Ѫ²¡ÁÆÐ§ÏÔÖø¡£¡£¡£ ¡£¡£2¡¢¶ñÐÔÁܰÍÁö¡£¡£¡£ ¡£¡£3¡¢Éúֳϸ°ûÖ×Áö¡£¡£¡£ ¡£¡£4¡¢Ð¡Ï¸°û·Î°©£¬£¬£¬£¬ÓÈÎÄÈâÁö¡¢Éöĸϸ°ûÁö¡¢Éñ¾­Ä¸Ï¸°ûÁö¡£¡£¡£ ¡£¡£5¡¢ÈéÏÙ°©¡¢ÂýÐÔÁܰÍϸ°û°×Ѫ²¡¡¢Ïû»¯µÀ°©¡¢ÐþÉ«ËØÁö¼°¶à·¢ÐÔ¹ÇËèÁöµÈ¡£¡£¡£ ¡£¡£

¡¾¹æ¸ñ¡¿1mg

¡¾Ó÷¨ÓÃÁ¿¡¿³ÉÈ˼ÁÁ¿1¡«2mg(»ò1.4mg/©O)×î´ó²»´óÓÚ2mg£¬£¬£¬£¬ÄêËê´óÓÚ65ËêÕߣ¬£¬£¬£¬×î´óÿ´Î1mg¡£¡£¡£ ¡£¡£¶ùͯ75¦Ìg/kg»ò2.0mg/©O£¬£¬£¬£¬Ã¿ÖÜ1´Î¾²Âö×¢Éä»òÍ»Èë¡£¡£¡£ ¡£¡£ÁªºÏ»¯ÁÆÊÇÁ¬ÓÃ2ÖÜΪһÖÜÆÚ¡£¡£¡£ ¡£¡£

¡¾²»Á¼·´Ó³¡¿1¡¢¼ÁÁ¿ÏÞÖÆÐÔ¶¾ÐÔÊÇÉñ¾­ÏµÍ³¶¾ÐÔ£¬£¬£¬£¬Ö÷ÒªÒýÆðÍâÖÜÉñ¾­Ö¢×´£¬£¬£¬£¬ÈçÊÖÖ¸¡¢Éñ¾­¶¾ÐԵȣ¬£¬£¬£¬ÓëÀÛ»ýÁ¿Óйء£¡£¡£ ¡£¡£×ãÖºÂéľ¡¢ëì·´É仺Âý»òÏûÊÅ£¬£¬£¬£¬ÍâÖÜÉñ¾­Ñס£¡£¡£ ¡£¡£¸¹Í´¡¢±ãÃØ£¬£¬£¬£¬ÂéľÐÔ³¦¹£×èż¼û¡£¡£¡£ ¡£¡£Ô˶¯Éñ¾­¡¢¸ÐÊÜÉñ¾­ºÍÄÔÉñ¾­Ò²¿ÉÊܵ½ÆÆË𣬣¬£¬£¬²¢±¬·¢ÏìÓ¦Ö¢×´¡£¡£¡£ ¡£¡£Éñ¾­¶¾ÐÔ³£±¬·¢ÓÚ40ËêÒÔÉÏÕߣ¬£¬£¬£¬¶ùͯµÄÄÍÊÜÐÔºÃÓÚ³ÉÈË£¬£¬£¬£¬¶ñÐÔÁܰÍÁö²¡ÈË·ºÆðÉñ¾­¶¾ÐÔµÄÇãÏò¸ßÓÚÆäËûÖ×Áö²¡ÈË¡£¡£¡£ ¡£¡£2¡¢¹ÇËèÒÖÖÆºÍÏû»¯µÀ·´Ó³½ÏÇá¡£¡£¡£ ¡£¡£3¡¢Óоֲ¿×éÖ¯´Ì¼¤×÷Ó㬣¬£¬£¬Ò©Òº²»¿ÉÍâ©£¬£¬£¬£¬·ñÔò¿ÉÒýÆð¾Ö²¿»µËÀ¡£¡£¡£ ¡£¡£4¡¢¿É¼ûÍÑ·¢£¬£¬£¬£¬Å¼¼ûѪѹµÄ¸Ä±ä¡£¡£¡£ ¡£¡£

¡¾½û¼É¡¿Éв»Ã÷È·¡£¡£¡£ ¡£¡£

¡¾×¢ÖØÊÂÏî¡¿1¡¢½öÓÃÓÚ¾²Âö×¢É䣬£¬£¬£¬Â©ÓÚÆ¤Ï¿ɵ¼ÖÂ×éÖ¯»µËÀ¡¢·äÎÑÖ¯Ñס£¡£¡£ ¡£¡£Ò»µ©Â©³ö»ò¿ÉÒÉÍâ©£¬£¬£¬£¬Ó¦Á¬Ã¦×èÖ¹ÊäÒº£¬£¬£¬£¬²¢ÓèÏìÓ¦´¦Àí(²Î¿¼µª½æÍ⩵Ĵ¦Àí)¡£¡£¡£ ¡£¡£2¡¢·ÀÖ¹Ò©Òº½¦ÈëÑÛÄÚ£¬£¬£¬£¬Ò»µ©±¬·¢Ó¦Á¬Ã¦Óôó×ÚÐÄÀíÑÎË®³åÏ´£¬£¬£¬£¬ÒÔºóÓ¦ÓõØÈûÃ×ËÉÑ۸ౣ»£»¤¡£¡£¡£ ¡£¡£3¡¢Í»Èë¾²Âöʱ×èÖ¹ÈÕ¹âÖ±½ÓÕÕÉä¡£¡£¡£ ¡£¡£4¡¢¸Î¹¦Ð§Ò쳣ʱ¼õÁ¿Ê¹Óᣡ£¡£ ¡£¡£

¡¾Ôи¾¼°²¸ÈéÆÚ¸¾Å®ÓÃÒ©¡¿Éв»Ã÷È·¡£¡£¡£ ¡£¡£

¡¾¶ùͯÓÃÒ©¡¿Éв»Ã÷È·¡£¡£¡£ ¡£¡£

¡¾ÍíÄêÓÃÒ©¡¿Éв»Ã÷È·¡£¡£¡£ ¡£¡£

¡¾Ò©ÎïÏ໥×÷Óá¿1¡¢ßÁ¿©ÏµÁп¹Õæ¾ú¼Á(ÒÁÇú¿µßò)£¬£¬£¬£¬ÔöÌí¼¡ÈâÉñ¾­ÏµÍ³µÄ¸±×÷Óᣡ£¡£ ¡£¡£Èç·¢Ã÷Óи±×÷Ó㬣¬£¬£¬Ó¦¾ÙÐмõÁ¿¡¢ÔÝÍ£»£»òÍ£Ò©µÈÊʵ±´¦Àí¡£¡£¡£ ¡£¡£ÒÁÇú¿µßòÓÐ×è°­¸Îϸ°ûÉ«ËØP-450 3AµÄ×÷Ó㬣¬£¬£¬³¤´ºÐ¼îͨ¹ý¸Îϸ°ûÈ¾É«ËØP-450 3A´úл£¬£¬£¬£¬ÊÊÓÿÉʹ³¤´ºÐ¼î´úлÊÜÒÖÖÆ¡£¡£¡£ ¡£¡£2¡¢Óë±½Í×ӢįÊÊÓ㬣¬£¬£¬½µµÍ±½Í×ӢįÎüÊÕ£¬£¬£¬£¬»òʹ´úл¿º½ø¡£¡£¡£ ¡£¡£3¡¢Ó뺬²¬µÄ¿¹ÑÇ¡¢¶ñÐÔÖ×Áö¼ÁÊÊÓ㬣¬£¬£¬¿ÉÄÜÔöÇ¿µÚ8¶ÔÄÔÉñ¾­Õϰ­¡£¡£¡£ ¡£¡£4¡¢ÓëL-Ì춬õ£°·Ã¸ÊÊÓ㬣¬£¬£¬¿ÉÄÜÔöÇ¿Éñ¾­ÏµÍ³¼°ÑªÒºÏµÍ³µÄÕϰ­¡£¡£¡£ ¡£¡£Îª½«¶¾ÐÔ¿ØÖƵ½×îС£¬£¬£¬£¬¿É½«ÁòË᳤´ºÐ¼îÔÚL-Ì춬õ£°·Ã¸¸øÒ©Ç°12¡«24СʱÒÔǰʹÓᣡ£¡£ ¡£¡£

¡¾Ò©Îï¹ýÁ¿¡¿Éв»Ã÷È·¡£¡£¡£ ¡£¡£

¡¾Ò©Àí¶¾Àí¡¿³¤´ºÐ¼îΪ¼ÐÖñÌÒ¿ÆÖ²Îﳤ´º»¨ÖÐÌáÈ¡µÄÓÐÓÃÒòËØ¡£¡£¡£ ¡£¡£¿£¿£¿£¿¹Ö×Áö×÷ÓðеãÊÇ΢¹Ü£¬£¬£¬£¬Ö÷ÒªÒÖÖÆÎ¢¹ÜÂѰ׵ľۺ϶øÓ°Ïì·Ä´¸Ìå΢¹ÜµÄÐγɡ£¡£¡£ ¡£¡£Ê¹ÓÐË¿ÆÆËé×èÖ¹ÓÚÖÐÆÚ¡£¡£¡£ ¡£¡£»£»¹¿É×ÌÈÅÂѰ×ÖÊ´úл¼°ÒÖÖÆRNA¶à¾ÛøµÄ»îÁ¦£¬£¬£¬£¬²¢ÒÖÖÆÏ¸°ûĤÀàÖ¬ÖʵĺϳɺͰ±»ùËáÔÚϸ°ûĤÉϵÄתÔË¡£¡£¡£ ¡£¡£³¤´ºÐ¼î¶ÔÒÆÖ²ÐÔÖ×ÁöµÄÒÖÖÆ×÷ÓôóÓÚ³¤´º»¨¼îÇÒ¿¹ÁöÆ×¹ã¡£¡£¡£ ¡£¡£³ý¶Ô³¤´º»¨¼îÃô¸ÐµÄÁöÖêÓÐÓÃÍ⣬£¬£¬£¬¶ÔСÊóRidgeway³É¹ÇѪÁö¡¢MeccaÁܰÍÈâÁö¡¢X-5563¹ÇËèÁöµÈÒ²ÓÐ×÷Óᣡ£¡£ ¡£¡£³¤´ºÐ¼³¤´º»¨¼îºÍ³¤´ºµØÐÁÈýÕß¼äÎÞ½»Ö¯ÄÍÒ©Õ÷Ï󣬣¬£¬£¬³¤´ºÐ¼îÉñ¾­¶¾ÐÔÔÚÈýÕßÖÐ×îÇ¿¡£¡£¡£ ¡£¡£

¡¾Ò©´ú¶¯Á¦Ñ§¡¿¾²×¢³¤´ºÐ¼îºóѸËÙÂþÑÜÓÚ¸÷×éÖ¯£¬£¬£¬£¬Éñ¾­Ï¸°ûÄÚŨ¶È½Ï¸ß£¬£¬£¬£¬ºÜÉÙ͸¹ýѪÄÔÆÁÕÏ£¬£¬£¬£¬ÄÔ¼¹ÒºÅ¨¶ÈÊÇѪ½¬Å¨¶ÈµÄ1/30¡«1/20¡£¡£¡£ ¡£¡£ÂѰ×Á¬ÏµÂÊ75%¡£¡£¡£ ¡£¡£ÔÚ³ÉÈË£¬£¬£¬£¬T1/2¦ÁСÓÚ5·ÖÖÓ£¬£¬£¬£¬T1/2¦ÂΪ50¡«155·ÖÖÓ£¬£¬£¬£¬Ä©ÉÒÏû³ýÏàT1/2¦Ã³¤´ï85Сʱ¡£¡£¡£ ¡£¡£ÔÚ¸ÎÄÚ´úл£¬£¬£¬£¬ÔÚµ¨Ö­ÖÐŨ¶È×î¸ß£¬£¬£¬£¬Ö÷ÒªËæµ¨Ö­ÇãÔþ£¬£¬£¬£¬·à±ãÉøÍ¸70%£¬£¬£¬£¬ÄòÖÐÉøÍ¸5%¡«16%¡£¡£¡£ ¡£¡£³¤´ºÐ¼îÄÜÑ¡ÔñÐԵؼ¯ÖÐÔÚ°©×éÖ¯£¬£¬£¬£¬¿ÉʹÔöֳϸ°ûͬ²½»¯£¬£¬£¬£¬½ø¶øÊ¹¿¹Ö×ÁöÒ©ÎïÔöЧ¡£¡£¡£ ¡£¡£

¡¾Öü²Ø¡¿Õڹ⣬£¬£¬£¬ÃܱÕ£¬£¬£¬£¬ÔÚÀä´¦(2-10¡æ)ÉúÑÄ¡£¡£¡£ ¡£¡£

¡¾°ü×°¡¿Î÷ÁÖÆ¿×°¡£¡£¡£ ¡£¡£10Ö§/ºÐ¡£¡£¡£ ¡£¡£

¡¾ÓÐÓÃÆÚ¡¿24¸öÔÂ

¡¾Ö´Ðбê×¼¡¿¡¶ÖйúÒ©µä¡·2015Äê°æµÚÒ»Ôö²¹±¾

¡¾Åú×¼Îĺš¿¹úÒ©×¼×ÖH14020811

¡¾Éú²úÆóÒµ¡¿ÆóÒµÃû³Æ£ºÉ½Î÷tyc41183Ì«Ñô³É¼¯ÍÅÌ©Ê¢ÖÆÒ©ÓÐÏÞ¹«Ë¾

        Éú²úµØµã£ºÉ½Î÷Ê¡´óͬÊо­¼ÃÊÖÒÕ¿ª·¢ÇøµÚÒ»Ò½Ò©Ô°Çø

        ÓÊÕþ±àÂ룺037300

        µç»°ºÅÂ룺0352¡ª7290991

        ´«ÕæºÅÂ룺0352¡ª7290990

8eff65654bbb185427781fffaa4d0372
×¢ÉäÓÃÁòË᳤´ºÐ¼î
¡¾³É¡¡¡¡·Ý¡¿±¾Æ·Ö÷Òª³É·ÝΪÁòË᳤´ºÐ¼¡£¡£ ¡£¡£
¡¾¹¦Ð§Ö÷ÖΡ¿¼±ÐÔ°×Ѫ²¡£¬£¬£¬£¬ÓÈÆäÊǶùͯ¼±ÐÔ°×Ѫ²¡£¬£¬£¬£¬¶Ô¼±ÐÔÁܰÍϸ°û°×Ѫ²¡ÁÆÐ§ÏÔÖø¡£¡£¡£ ¡£¡£
¡¾¹æ¡¡¡¡¸ñ¡¿1mg
¡¾Åú×¼Îĺš¿¹úÒ©×¼×ÖH14020811
²úƷ˵Ã÷

¡¾Ò©Æ·Ãû³Æ¡¿Í¨ÓÃÃû³Æ£º×¢ÉäÓÃÁòË᳤´ºÐ¼î

        Ó¢ÎÄÃû³Æ£ºVincristine Sulfate for Injection

        ººÓïÆ´Òô£ºZhusheyong LiusuanChangchunxinjian

¡¾³É·Ý¡¿±¾Æ·Ö÷Òª³É·ÝΪÁòË᳤´ºÐ¼¡£¡£ ¡£¡£

     Æä½á¹¹Ê½Îª£º

×¢ÉäÓÃÁòË᳤´ºÐ¼î

     ·Ö×Óʽ£ºC46H56N4O10¡¤H2SO4

     ·Ö×ÓÁ¿£º923.04

     ËùÓи¨ÁÏÃû³ÆÎª£º¸Ê¶´¼

¡¾ÐÔ×´¡¿±¾Æ·Îª°×É«»òÀà°×É«µÄËÉÉ¢×´»òÎÞ¶¨ÐιÌÌ壻£»ÓÐÒýʪÐÔ£»£»Óö¹â»òÈÈÒױ仯¡£¡£¡£ ¡£¡£

¡¾Ë³Ó¦Ö¢¡¿1¡¢¼±ÐÔ°×Ѫ²¡£¬£¬£¬£¬ÓÈÆäÊǶùͯ¼±ÐÔ°×Ѫ²¡£¬£¬£¬£¬¶Ô¼±ÐÔÁܰÍϸ°û°×Ѫ²¡ÁÆÐ§ÏÔÖø¡£¡£¡£ ¡£¡£2¡¢¶ñÐÔÁܰÍÁö¡£¡£¡£ ¡£¡£3¡¢Éúֳϸ°ûÖ×Áö¡£¡£¡£ ¡£¡£4¡¢Ð¡Ï¸°û·Î°©£¬£¬£¬£¬ÓÈÎÄÈâÁö¡¢Éöĸϸ°ûÁö¡¢Éñ¾­Ä¸Ï¸°ûÁö¡£¡£¡£ ¡£¡£5¡¢ÈéÏÙ°©¡¢ÂýÐÔÁܰÍϸ°û°×Ѫ²¡¡¢Ïû»¯µÀ°©¡¢ÐþÉ«ËØÁö¼°¶à·¢ÐÔ¹ÇËèÁöµÈ¡£¡£¡£ ¡£¡£

¡¾¹æ¸ñ¡¿1mg

¡¾Ó÷¨ÓÃÁ¿¡¿³ÉÈ˼ÁÁ¿1¡«2mg(»ò1.4mg/©O)×î´ó²»´óÓÚ2mg£¬£¬£¬£¬ÄêËê´óÓÚ65ËêÕߣ¬£¬£¬£¬×î´óÿ´Î1mg¡£¡£¡£ ¡£¡£¶ùͯ75¦Ìg/kg»ò2.0mg/©O£¬£¬£¬£¬Ã¿ÖÜ1´Î¾²Âö×¢Éä»òÍ»Èë¡£¡£¡£ ¡£¡£ÁªºÏ»¯ÁÆÊÇÁ¬ÓÃ2ÖÜΪһÖÜÆÚ¡£¡£¡£ ¡£¡£

¡¾²»Á¼·´Ó³¡¿1¡¢¼ÁÁ¿ÏÞÖÆÐÔ¶¾ÐÔÊÇÉñ¾­ÏµÍ³¶¾ÐÔ£¬£¬£¬£¬Ö÷ÒªÒýÆðÍâÖÜÉñ¾­Ö¢×´£¬£¬£¬£¬ÈçÊÖÖ¸¡¢Éñ¾­¶¾ÐԵȣ¬£¬£¬£¬ÓëÀÛ»ýÁ¿Óйء£¡£¡£ ¡£¡£×ãÖºÂéľ¡¢ëì·´É仺Âý»òÏûÊÅ£¬£¬£¬£¬ÍâÖÜÉñ¾­Ñס£¡£¡£ ¡£¡£¸¹Í´¡¢±ãÃØ£¬£¬£¬£¬ÂéľÐÔ³¦¹£×èż¼û¡£¡£¡£ ¡£¡£Ô˶¯Éñ¾­¡¢¸ÐÊÜÉñ¾­ºÍÄÔÉñ¾­Ò²¿ÉÊܵ½ÆÆË𣬣¬£¬£¬²¢±¬·¢ÏìÓ¦Ö¢×´¡£¡£¡£ ¡£¡£Éñ¾­¶¾ÐÔ³£±¬·¢ÓÚ40ËêÒÔÉÏÕߣ¬£¬£¬£¬¶ùͯµÄÄÍÊÜÐÔºÃÓÚ³ÉÈË£¬£¬£¬£¬¶ñÐÔÁܰÍÁö²¡ÈË·ºÆðÉñ¾­¶¾ÐÔµÄÇãÏò¸ßÓÚÆäËûÖ×Áö²¡ÈË¡£¡£¡£ ¡£¡£2¡¢¹ÇËèÒÖÖÆºÍÏû»¯µÀ·´Ó³½ÏÇá¡£¡£¡£ ¡£¡£3¡¢Óоֲ¿×éÖ¯´Ì¼¤×÷Ó㬣¬£¬£¬Ò©Òº²»¿ÉÍâ©£¬£¬£¬£¬·ñÔò¿ÉÒýÆð¾Ö²¿»µËÀ¡£¡£¡£ ¡£¡£4¡¢¿É¼ûÍÑ·¢£¬£¬£¬£¬Å¼¼ûѪѹµÄ¸Ä±ä¡£¡£¡£ ¡£¡£

¡¾½û¼É¡¿Éв»Ã÷È·¡£¡£¡£ ¡£¡£

¡¾×¢ÖØÊÂÏî¡¿1¡¢½öÓÃÓÚ¾²Âö×¢É䣬£¬£¬£¬Â©ÓÚÆ¤Ï¿ɵ¼ÖÂ×éÖ¯»µËÀ¡¢·äÎÑÖ¯Ñס£¡£¡£ ¡£¡£Ò»µ©Â©³ö»ò¿ÉÒÉÍâ©£¬£¬£¬£¬Ó¦Á¬Ã¦×èÖ¹ÊäÒº£¬£¬£¬£¬²¢ÓèÏìÓ¦´¦Àí(²Î¿¼µª½æÍ⩵Ĵ¦Àí)¡£¡£¡£ ¡£¡£2¡¢·ÀÖ¹Ò©Òº½¦ÈëÑÛÄÚ£¬£¬£¬£¬Ò»µ©±¬·¢Ó¦Á¬Ã¦Óôó×ÚÐÄÀíÑÎË®³åÏ´£¬£¬£¬£¬ÒÔºóÓ¦ÓõØÈûÃ×ËÉÑ۸ౣ»£»¤¡£¡£¡£ ¡£¡£3¡¢Í»Èë¾²Âöʱ×èÖ¹ÈÕ¹âÖ±½ÓÕÕÉä¡£¡£¡£ ¡£¡£4¡¢¸Î¹¦Ð§Ò쳣ʱ¼õÁ¿Ê¹Óᣡ£¡£ ¡£¡£

¡¾Ôи¾¼°²¸ÈéÆÚ¸¾Å®ÓÃÒ©¡¿Éв»Ã÷È·¡£¡£¡£ ¡£¡£

¡¾¶ùͯÓÃÒ©¡¿Éв»Ã÷È·¡£¡£¡£ ¡£¡£

¡¾ÍíÄêÓÃÒ©¡¿Éв»Ã÷È·¡£¡£¡£ ¡£¡£

¡¾Ò©ÎïÏ໥×÷Óá¿1¡¢ßÁ¿©ÏµÁп¹Õæ¾ú¼Á(ÒÁÇú¿µßò)£¬£¬£¬£¬ÔöÌí¼¡ÈâÉñ¾­ÏµÍ³µÄ¸±×÷Óᣡ£¡£ ¡£¡£Èç·¢Ã÷Óи±×÷Ó㬣¬£¬£¬Ó¦¾ÙÐмõÁ¿¡¢ÔÝÍ£»£»òÍ£Ò©µÈÊʵ±´¦Àí¡£¡£¡£ ¡£¡£ÒÁÇú¿µßòÓÐ×è°­¸Îϸ°ûÉ«ËØP-450 3AµÄ×÷Ó㬣¬£¬£¬³¤´ºÐ¼îͨ¹ý¸Îϸ°ûÈ¾É«ËØP-450 3A´úл£¬£¬£¬£¬ÊÊÓÿÉʹ³¤´ºÐ¼î´úлÊÜÒÖÖÆ¡£¡£¡£ ¡£¡£2¡¢Óë±½Í×ӢįÊÊÓ㬣¬£¬£¬½µµÍ±½Í×ӢįÎüÊÕ£¬£¬£¬£¬»òʹ´úл¿º½ø¡£¡£¡£ ¡£¡£3¡¢Ó뺬²¬µÄ¿¹ÑÇ¡¢¶ñÐÔÖ×Áö¼ÁÊÊÓ㬣¬£¬£¬¿ÉÄÜÔöÇ¿µÚ8¶ÔÄÔÉñ¾­Õϰ­¡£¡£¡£ ¡£¡£4¡¢ÓëL-Ì춬õ£°·Ã¸ÊÊÓ㬣¬£¬£¬¿ÉÄÜÔöÇ¿Éñ¾­ÏµÍ³¼°ÑªÒºÏµÍ³µÄÕϰ­¡£¡£¡£ ¡£¡£Îª½«¶¾ÐÔ¿ØÖƵ½×îС£¬£¬£¬£¬¿É½«ÁòË᳤´ºÐ¼îÔÚL-Ì춬õ£°·Ã¸¸øÒ©Ç°12¡«24СʱÒÔǰʹÓᣡ£¡£ ¡£¡£

¡¾Ò©Îï¹ýÁ¿¡¿Éв»Ã÷È·¡£¡£¡£ ¡£¡£

¡¾Ò©Àí¶¾Àí¡¿³¤´ºÐ¼îΪ¼ÐÖñÌÒ¿ÆÖ²Îﳤ´º»¨ÖÐÌáÈ¡µÄÓÐÓÃÒòËØ¡£¡£¡£ ¡£¡£¿£¿£¿£¿¹Ö×Áö×÷ÓðеãÊÇ΢¹Ü£¬£¬£¬£¬Ö÷ÒªÒÖÖÆÎ¢¹ÜÂѰ׵ľۺ϶øÓ°Ïì·Ä´¸Ìå΢¹ÜµÄÐγɡ£¡£¡£ ¡£¡£Ê¹ÓÐË¿ÆÆËé×èÖ¹ÓÚÖÐÆÚ¡£¡£¡£ ¡£¡£»£»¹¿É×ÌÈÅÂѰ×ÖÊ´úл¼°ÒÖÖÆRNA¶à¾ÛøµÄ»îÁ¦£¬£¬£¬£¬²¢ÒÖÖÆÏ¸°ûĤÀàÖ¬ÖʵĺϳɺͰ±»ùËáÔÚϸ°ûĤÉϵÄתÔË¡£¡£¡£ ¡£¡£³¤´ºÐ¼î¶ÔÒÆÖ²ÐÔÖ×ÁöµÄÒÖÖÆ×÷ÓôóÓÚ³¤´º»¨¼îÇÒ¿¹ÁöÆ×¹ã¡£¡£¡£ ¡£¡£³ý¶Ô³¤´º»¨¼îÃô¸ÐµÄÁöÖêÓÐÓÃÍ⣬£¬£¬£¬¶ÔСÊóRidgeway³É¹ÇѪÁö¡¢MeccaÁܰÍÈâÁö¡¢X-5563¹ÇËèÁöµÈÒ²ÓÐ×÷Óᣡ£¡£ ¡£¡£³¤´ºÐ¼³¤´º»¨¼îºÍ³¤´ºµØÐÁÈýÕß¼äÎÞ½»Ö¯ÄÍÒ©Õ÷Ï󣬣¬£¬£¬³¤´ºÐ¼îÉñ¾­¶¾ÐÔÔÚÈýÕßÖÐ×îÇ¿¡£¡£¡£ ¡£¡£

¡¾Ò©´ú¶¯Á¦Ñ§¡¿¾²×¢³¤´ºÐ¼îºóѸËÙÂþÑÜÓÚ¸÷×éÖ¯£¬£¬£¬£¬Éñ¾­Ï¸°ûÄÚŨ¶È½Ï¸ß£¬£¬£¬£¬ºÜÉÙ͸¹ýѪÄÔÆÁÕÏ£¬£¬£¬£¬ÄÔ¼¹ÒºÅ¨¶ÈÊÇѪ½¬Å¨¶ÈµÄ1/30¡«1/20¡£¡£¡£ ¡£¡£ÂѰ×Á¬ÏµÂÊ75%¡£¡£¡£ ¡£¡£ÔÚ³ÉÈË£¬£¬£¬£¬T1/2¦ÁСÓÚ5·ÖÖÓ£¬£¬£¬£¬T1/2¦ÂΪ50¡«155·ÖÖÓ£¬£¬£¬£¬Ä©ÉÒÏû³ýÏàT1/2¦Ã³¤´ï85Сʱ¡£¡£¡£ ¡£¡£ÔÚ¸ÎÄÚ´úл£¬£¬£¬£¬ÔÚµ¨Ö­ÖÐŨ¶È×î¸ß£¬£¬£¬£¬Ö÷ÒªËæµ¨Ö­ÇãÔþ£¬£¬£¬£¬·à±ãÉøÍ¸70%£¬£¬£¬£¬ÄòÖÐÉøÍ¸5%¡«16%¡£¡£¡£ ¡£¡£³¤´ºÐ¼îÄÜÑ¡ÔñÐԵؼ¯ÖÐÔÚ°©×éÖ¯£¬£¬£¬£¬¿ÉʹÔöֳϸ°ûͬ²½»¯£¬£¬£¬£¬½ø¶øÊ¹¿¹Ö×ÁöÒ©ÎïÔöЧ¡£¡£¡£ ¡£¡£

¡¾Öü²Ø¡¿Õڹ⣬£¬£¬£¬ÃܱÕ£¬£¬£¬£¬ÔÚÀä´¦(2-10¡æ)ÉúÑÄ¡£¡£¡£ ¡£¡£

¡¾°ü×°¡¿Î÷ÁÖÆ¿×°¡£¡£¡£ ¡£¡£10Ö§/ºÐ¡£¡£¡£ ¡£¡£

¡¾ÓÐÓÃÆÚ¡¿24¸öÔÂ

¡¾Ö´Ðбê×¼¡¿¡¶ÖйúÒ©µä¡·2015Äê°æµÚÒ»Ôö²¹±¾

¡¾Åú×¼Îĺš¿¹úÒ©×¼×ÖH14020811

¡¾Éú²úÆóÒµ¡¿ÆóÒµÃû³Æ£ºÉ½Î÷tyc41183Ì«Ñô³É¼¯ÍÅÌ©Ê¢ÖÆÒ©ÓÐÏÞ¹«Ë¾

        Éú²úµØµã£ºÉ½Î÷Ê¡´óͬÊо­¼ÃÊÖÒÕ¿ª·¢ÇøµÚÒ»Ò½Ò©Ô°Çø

        ÓÊÕþ±àÂ룺037300

        µç»°ºÅÂ룺0352¡ª7290991

        ´«ÕæºÅÂ룺0352¡ª7290990