
【药品名称】通用名称:注射用哌拉西林钠
英文名称:Piperacillin Sodium for Injection
汉语拼音:Zhusheyong Pailaxilinna
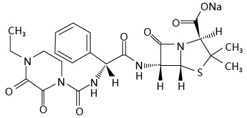
【成份】本品主要成份为哌拉西林钠。。。。。。其化学名称为(2S,,,,5R,,,,6R)-3,,,,3-二甲基-6-[(R)-2-(4-乙基-2,,,,3-二氧代-1-哌嗪甲酰氨基)-2-苯乙酰氨基]-7-氧代-4-硫杂-1-氮杂双环[3.2.0]庚烷-2-甲酸钠盐。。。。。。
结构式:

分子式:C23H26N5NaO7S
分子量:539.54
【性状】本品为白色或类白色粉未或松散块状物;;;;无臭。。。。。。
【顺应症】适用敏感肠杆菌科细菌、铜绿假单胞菌、不动杆菌属所致的败血症、上尿路及重大性尿路熏染、呼吸道熏染、胆道熏染、腹腔熏染、盆腔熏染以及皮肤、软组织熏染等。。。。。。哌拉西林与氨基糖苷类联合应用亦可用于有粒细胞镌汰症免疫缺陷病人的熏染。。。。。。
【规格】按C23H26N5NaO7S计2.0g
【用法用量】本品可供静脉滴注和静脉注射。。。。。。成人中度熏染一日8g,,,,分2次静脉滴注﹔严重熏染一次3~4g,,,,每4~6小时静脉滴注或注射。。。。。。一日总剂量不凌驾24g。。。。。。婴幼儿和12岁以下儿童的剂量为逐日按体重100~200mg/kg。。。。。。新生儿体重低于2kg者,,,,出生后第1周每12小时50mg/kg,,,,静脉滴注;;;;第2周起50mg/kg,,,,每8小时1次。。。。。。新生儿体重2kg以上者出生后第1周每8小时50mg/kg,,,,静脉滴注;;;;1周以上者每6小时50mg/kg。。。。。。
【不良反映】1、过敏反映:青霉素类药物过敏反映较常见,,,,包括荨麻疹等种种皮疹、白细胞镌汰、间质性肾炎、哮喘爆发和血清病型反映,,,,严重者如过敏性休克偶见;;;;过敏性休克一旦爆发,,,,必需就地抢救,,,,予以坚持气道流通、吸氧及给用肾上腺素、糖皮质激素等治疗步伐。。。。。。2、局部症状:局部注射部位疼痛、血栓性静脉炎等。。。。。。3、消化道症状:腹泻、稀便、恶心、吐逆等假膜性肠炎有数。。。。。。4、个体患者可泛起胆汁淤积性黄疸。。。。。。5、中枢神经系统症状:头痛、头晕和疲倦等。。。。。。6、肾功效减退者应用大剂量时,,,,因脑脊液浓度增高,,,,泛起青霉素脑病,,,,故此时应按肾功效举行剂量调解。。。。。。7、其他:念珠菌二重熏染、出血等。。。。。。
【禁忌】有青霉素类药物过敏史或青霉素皮肤试验阳性患者禁用。。。。。。
【注重事项】1、使用本品前需详细询问药物过敏史并举行青霉素皮肤试验,,,,呈阳性反映者禁用。。。。。。2、对一种青霉素过敏者可能对其他青霉素类药物;;;;对头孢菌素类、头霉素类、灰黄霉素或青霉胺过敏者,,,,对本品也可能过敏。。。。。。3、本品在少数患者尤其是肾功效不全患者可导致出血,,,,爆发后应实时停药并予适当治疗﹔肾功效减退者应适当减量。。。。。。4、对诊断的滋扰:应用本品可引起直接抗球卵白(Coombs)试验呈阳性,,,,也可泛起血尿素氮和血清肌酊升高、高钠血症、低钾血症、血清氨基转移酶和血清乳酸脱氢酶升高、血清胆红素增多。。。。。。5、有过敏史、出血史、溃疡性结肠炎、克隆病或抗生素相关肠炎者皆应慎用。。。。。。6、本品不可加入碳酸氢钠溶液中静滴。。。。。。
【孕妇及哺乳期妇女用药】动物生殖试验未发明本品有损害,,,,但尚未在孕妇中举行严酷比照试验以扫除这类药物对胎儿的不良影响,,,,以是孕妇应仅在确有须要时使用本品。。。。。。少量本品从乳汁中渗透,,,,哺乳期妇女用药时宜暂停哺乳。。。。。。
【儿童用药】尚不明确。。。。。。
【晚年用药】尚不明确。。。。。。
【药物相互作用】1、在体外本品与氨基糖甙类药物(阿米卡星、庆大霉素或妥布霉素)适用对铜绿假单胞菌、部分肠杆菌科细菌具有协同抗菌作用。。。。。。2、本品与头孢西丁适用,,,,因后者可诱导细菌爆发β-内酰胺酶而对铜绿假单胞菌、沙雷菌属、变形杆菌属和肠杆菌属泛起拮抗作用。。。。。。3、与肝素、香豆素、茆满二酮等抗凝血药及非甾体抗炎止痛药适用时可增添出血危险,,,,与栓溶剂适用可爆发严重出血。。。。。。4、本品与氨基糖甙类抗生素不可同瓶滴注,,,,否则两者的抗菌活性均削弱。。。。。。
【药物过量】应实时停药并予对症、支持治疗。。。。。。血液透析可扫除哌拉西林。。。。。。
【药理毒理】哌拉西林是半合成青霉素类抗生素,,,,具广谱抗菌作用。。。。。。哌拉西林对大肠埃希菌、变形杆菌属、沙雷菌属、克雷伯菌属、肠杆菌属、枸橼酸菌属、沙门菌属和志贺菌属等肠杆菌科细菌,,,,以及铜绿假单胞菌、不动杆菌属、流感嗜血杆菌、奈瑟菌属等其他革兰阴性菌均具有优异抗菌作用。。。。。。本品对肠球菌属、A组、B组溶血性 链球菌、肺炎链球菌以及不产青霉素酶的葡萄球菌亦具有一定抗菌活性。。。。。。包括懦弱拟杆菌、梭状芽孢杆菌等许多厌氧菌也对哌拉西林敏感。。。。。。哌拉西林的作用机制为通过抑制细菌细胞壁合成施展杀菌作用。。。。。。
【药代动力学】本品口服不吸收。。。。。。正凡人肌内注射本品1g后0.71小时达血药峰浓度(Cmax)为52.2mg/L,,,,6小时血药浓度为1.3mg/L。。。。。。静脉滴注和静脉推注本品1g后马上血药浓度达58.0mg/L和142.1mg/L,,,,6小时划分为0.5mg/L和O.6mg/L。。。。。。给严重肾功效损害病人(内生肌西扫除率≤5ml/L)于30分钟内按体重静脉滴注70mg/kg,,,,1小时后的血药浓度约为350mg/L。。。。。。本品的血清卵白连系率为17%~22%,,,,表观漫衍容积(Vd)为0.18~0.3L/kg,,,,漫衍半衰期(t1/2α)为11~20分钟,,,,在骨、心脏等组织和体液中漫衍优异,,,,在脑膜有炎症时在脑脊液中也可抵达相当浓度。。。。。。正常肾功效者哌拉西林血消除半衰期(t1/2β)为0.6~1.2小时,,,,中度以上肾功效不全者可延伸至3.3~5.1小时,,,,在肝内不代谢。。。。。。本品系通过肾(肾小球滤过和肾小管渗透)和非肾(主要经胆汁)途径扫除。。。。。。静脉注射1g后,,,,12小时尿中倾轧给药量的49%~68%。。。。。。肝功效正常者10%~20%的药物经胆汁渗透。。。。。。很少量药物经乳汁倾轧。。。。。。血液透析4小时可扫除给药量的30%~50%。。。。。。肌内注射前1小时口服丙磺舒1g,,,,可使血药峰浓度(Cmax)增高30%,,,,血消除半衰期(t1/2β)延伸30%。。。。。。
【贮藏】密闭,,,,在凉暗(避光并不凌驾20℃)干燥处生涯。。。。。。
【包装】西林瓶装。。。。。。10支/盒。。。。。。
【有用期】24个月
【执行标准】《中国药典》2020年版二部
【批准文号】国药准字H20043868
【上市允许持有人】名称:山西tyc41183太阳成集团泰盛制药有限公司
注册地点:山西省大同市经济手艺开发区第一医药园区
【生产企业】企业名称:山西tyc41183太阳成集团泰盛制药有限公司
生产地点:山西省大同市经济手艺开发区第一医药园区
邮政编码:037300
电话号码:0352——7290991
传真号码:0352——7290990

【药品名称】通用名称:注射用哌拉西林钠
英文名称:Piperacillin Sodium for Injection
汉语拼音:Zhusheyong Pailaxilinna
【成份】本品主要成份为哌拉西林钠。。。。。。其化学名称为(2S,,,,5R,,,,6R)-3,,,,3-二甲基-6-[(R)-2-(4-乙基-2,,,,3-二氧代-1-哌嗪甲酰氨基)-2-苯乙酰氨基]-7-氧代-4-硫杂-1-氮杂双环[3.2.0]庚烷-2-甲酸钠盐。。。。。。
结构式:

分子式:C23H26N5NaO7S
分子量:539.54
【性状】本品为白色或类白色粉未或松散块状物;;;;无臭。。。。。。
【顺应症】适用敏感肠杆菌科细菌、铜绿假单胞菌、不动杆菌属所致的败血症、上尿路及重大性尿路熏染、呼吸道熏染、胆道熏染、腹腔熏染、盆腔熏染以及皮肤、软组织熏染等。。。。。。哌拉西林与氨基糖苷类联合应用亦可用于有粒细胞镌汰症免疫缺陷病人的熏染。。。。。。
【规格】按C23H26N5NaO7S计2.0g
【用法用量】本品可供静脉滴注和静脉注射。。。。。。成人中度熏染一日8g,,,,分2次静脉滴注﹔严重熏染一次3~4g,,,,每4~6小时静脉滴注或注射。。。。。。一日总剂量不凌驾24g。。。。。。婴幼儿和12岁以下儿童的剂量为逐日按体重100~200mg/kg。。。。。。新生儿体重低于2kg者,,,,出生后第1周每12小时50mg/kg,,,,静脉滴注;;;;第2周起50mg/kg,,,,每8小时1次。。。。。。新生儿体重2kg以上者出生后第1周每8小时50mg/kg,,,,静脉滴注;;;;1周以上者每6小时50mg/kg。。。。。。
【不良反映】1、过敏反映:青霉素类药物过敏反映较常见,,,,包括荨麻疹等种种皮疹、白细胞镌汰、间质性肾炎、哮喘爆发和血清病型反映,,,,严重者如过敏性休克偶见;;;;过敏性休克一旦爆发,,,,必需就地抢救,,,,予以坚持气道流通、吸氧及给用肾上腺素、糖皮质激素等治疗步伐。。。。。。2、局部症状:局部注射部位疼痛、血栓性静脉炎等。。。。。。3、消化道症状:腹泻、稀便、恶心、吐逆等假膜性肠炎有数。。。。。。4、个体患者可泛起胆汁淤积性黄疸。。。。。。5、中枢神经系统症状:头痛、头晕和疲倦等。。。。。。6、肾功效减退者应用大剂量时,,,,因脑脊液浓度增高,,,,泛起青霉素脑病,,,,故此时应按肾功效举行剂量调解。。。。。。7、其他:念珠菌二重熏染、出血等。。。。。。
【禁忌】有青霉素类药物过敏史或青霉素皮肤试验阳性患者禁用。。。。。。
【注重事项】1、使用本品前需详细询问药物过敏史并举行青霉素皮肤试验,,,,呈阳性反映者禁用。。。。。。2、对一种青霉素过敏者可能对其他青霉素类药物;;;;对头孢菌素类、头霉素类、灰黄霉素或青霉胺过敏者,,,,对本品也可能过敏。。。。。。3、本品在少数患者尤其是肾功效不全患者可导致出血,,,,爆发后应实时停药并予适当治疗﹔肾功效减退者应适当减量。。。。。。4、对诊断的滋扰:应用本品可引起直接抗球卵白(Coombs)试验呈阳性,,,,也可泛起血尿素氮和血清肌酊升高、高钠血症、低钾血症、血清氨基转移酶和血清乳酸脱氢酶升高、血清胆红素增多。。。。。。5、有过敏史、出血史、溃疡性结肠炎、克隆病或抗生素相关肠炎者皆应慎用。。。。。。6、本品不可加入碳酸氢钠溶液中静滴。。。。。。
【孕妇及哺乳期妇女用药】动物生殖试验未发明本品有损害,,,,但尚未在孕妇中举行严酷比照试验以扫除这类药物对胎儿的不良影响,,,,以是孕妇应仅在确有须要时使用本品。。。。。。少量本品从乳汁中渗透,,,,哺乳期妇女用药时宜暂停哺乳。。。。。。
【儿童用药】尚不明确。。。。。。
【晚年用药】尚不明确。。。。。。
【药物相互作用】1、在体外本品与氨基糖甙类药物(阿米卡星、庆大霉素或妥布霉素)适用对铜绿假单胞菌、部分肠杆菌科细菌具有协同抗菌作用。。。。。。2、本品与头孢西丁适用,,,,因后者可诱导细菌爆发β-内酰胺酶而对铜绿假单胞菌、沙雷菌属、变形杆菌属和肠杆菌属泛起拮抗作用。。。。。。3、与肝素、香豆素、茆满二酮等抗凝血药及非甾体抗炎止痛药适用时可增添出血危险,,,,与栓溶剂适用可爆发严重出血。。。。。。4、本品与氨基糖甙类抗生素不可同瓶滴注,,,,否则两者的抗菌活性均削弱。。。。。。
【药物过量】应实时停药并予对症、支持治疗。。。。。。血液透析可扫除哌拉西林。。。。。。
【药理毒理】哌拉西林是半合成青霉素类抗生素,,,,具广谱抗菌作用。。。。。。哌拉西林对大肠埃希菌、变形杆菌属、沙雷菌属、克雷伯菌属、肠杆菌属、枸橼酸菌属、沙门菌属和志贺菌属等肠杆菌科细菌,,,,以及铜绿假单胞菌、不动杆菌属、流感嗜血杆菌、奈瑟菌属等其他革兰阴性菌均具有优异抗菌作用。。。。。。本品对肠球菌属、A组、B组溶血性 链球菌、肺炎链球菌以及不产青霉素酶的葡萄球菌亦具有一定抗菌活性。。。。。。包括懦弱拟杆菌、梭状芽孢杆菌等许多厌氧菌也对哌拉西林敏感。。。。。。哌拉西林的作用机制为通过抑制细菌细胞壁合成施展杀菌作用。。。。。。
【药代动力学】本品口服不吸收。。。。。。正凡人肌内注射本品1g后0.71小时达血药峰浓度(Cmax)为52.2mg/L,,,,6小时血药浓度为1.3mg/L。。。。。。静脉滴注和静脉推注本品1g后马上血药浓度达58.0mg/L和142.1mg/L,,,,6小时划分为0.5mg/L和O.6mg/L。。。。。。给严重肾功效损害病人(内生肌西扫除率≤5ml/L)于30分钟内按体重静脉滴注70mg/kg,,,,1小时后的血药浓度约为350mg/L。。。。。。本品的血清卵白连系率为17%~22%,,,,表观漫衍容积(Vd)为0.18~0.3L/kg,,,,漫衍半衰期(t1/2α)为11~20分钟,,,,在骨、心脏等组织和体液中漫衍优异,,,,在脑膜有炎症时在脑脊液中也可抵达相当浓度。。。。。。正常肾功效者哌拉西林血消除半衰期(t1/2β)为0.6~1.2小时,,,,中度以上肾功效不全者可延伸至3.3~5.1小时,,,,在肝内不代谢。。。。。。本品系通过肾(肾小球滤过和肾小管渗透)和非肾(主要经胆汁)途径扫除。。。。。。静脉注射1g后,,,,12小时尿中倾轧给药量的49%~68%。。。。。。肝功效正常者10%~20%的药物经胆汁渗透。。。。。。很少量药物经乳汁倾轧。。。。。。血液透析4小时可扫除给药量的30%~50%。。。。。。肌内注射前1小时口服丙磺舒1g,,,,可使血药峰浓度(Cmax)增高30%,,,,血消除半衰期(t1/2β)延伸30%。。。。。。
【贮藏】密闭,,,,在凉暗(避光并不凌驾20℃)干燥处生涯。。。。。。
【包装】西林瓶装。。。。。。10支/盒。。。。。。
【有用期】24个月
【执行标准】《中国药典》2020年版二部
【批准文号】国药准字H20043868
【上市允许持有人】名称:山西tyc41183太阳成集团泰盛制药有限公司
注册地点:山西省大同市经济手艺开发区第一医药园区
【生产企业】企业名称:山西tyc41183太阳成集团泰盛制药有限公司
生产地点:山西省大同市经济手艺开发区第一医药园区
邮政编码:037300
电话号码:0352——7290991
传真号码:0352——7290990
